破碎是當代飛速發展的經濟社會必不可少的一個重要的工作環節。在各種礦石的加工工序中,破碎機的破碎作業熬需要消耗巨大的能量,而且還是個低效率的事情。在破碎石料中由于摩擦、發熱、振動等原因,使大量的能量消耗掉了,所以導致現在很多人在設計如何更準確的、更節能的破碎機。
破碎機原理設計
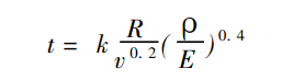
在設計沖擊式破碎機時, 當確定了沖擊速度后,如何確定破碎時間就成為一個重要的課題。破碎時間指的是從物料與錘頭開始接觸到物料發生破碎的持續時間。 通過試驗對破碎時間進行了測定, 認為破碎時間小于02ms。通過理論分析得出了如下的破碎時間計算式:

式中,t為破碎時間,s,r為巖石半徑,m;v為錘頭沖擊速度,m/s;σ為巖石密度,kg/m3;E為巖石彈性磨量,pa;k為破碎時間系數,對于沖擊式細碎錘式破碎機,k=2.06,對于中粗碎錘式破碎機,k=270。
破碎機材料選擇
在對破碎機襯扳的成分設計及選擇
(1)是否能夠滿足破碎機襯板所需的功能要求。對于一個破碎機襯板結構件,必須考慮它在承載工作中所引起的各種力學性能要求,如強度、沖擊韌性、抗拉強度、屈思強度、疲勞強度、耐磨性和抗腐蝕性等。這些力學性能是破碎帆襯板化學成分設計的關鍍。若能滿足各種力學性能要求,則所設計的合金成分就是合理可取的。
(2)是否滿足制造工藝性能要求。對已滿足所需功能要求的材樹,還需進一步考慮材料的工藝性能,如加工性能、是否容易成形、內在質量的優劣、所需加工費用是否經濟合理等。
(3)在己滿足破碎機襯板零件功能要求和制造工藝性能要求的情況下,則要考慮經濟指標,以使襯板的生產成本所有降低,具有一定的經濟和社會效益。
(4)實際生產試制確定合理的化學成分。
上一篇: 未來破碎機的設計思路
2018-11-01
2018-04-24